Aktuálně

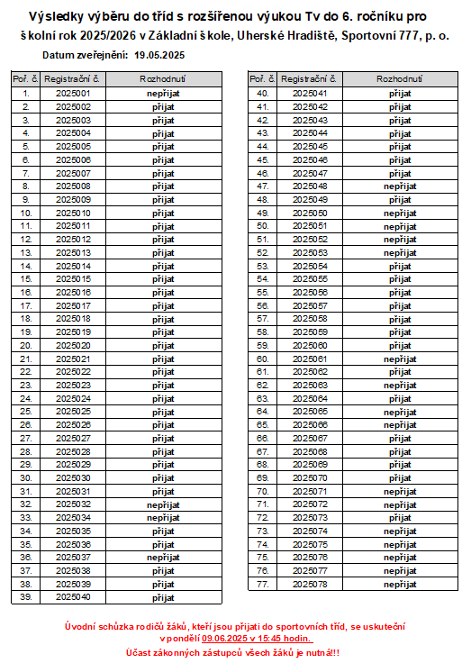
Výsledky výběru do sportovních tříd do 6. ročníku

Oznámení rozhodnutí o přijetí žáků k základnímu vzdělávání do 6. ročníku ve třídách s rozšířenou výukou tělesné výchovy v Základní škole, Uherské Hradiště, Sportovní 777, p. o. pro školní rok 2025/2026